In this video we look at a basic combination of resistors. What we aim to do is create a general set of rules which will
In this video we look at a basic combination of resistors. What we aim to do is create a general set of rules which will
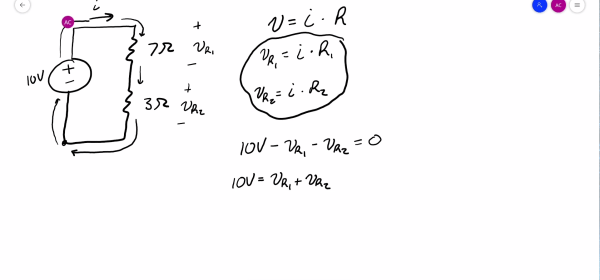
In this video, we go over Kirchoff’s Voltage, Current, and Power Laws. These laws place necessary restrictions on circuits, and ensure that our answers are
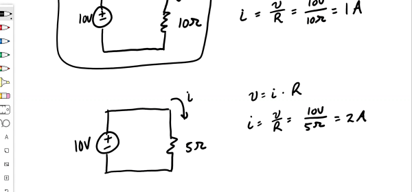
In this video, we will explore the most basic circuit element: the resistor. We define resistance, and discuss how it relates voltage and current. In
In this video, we look at the definition of voltage, current, and power from a qualitative and quantitative perspective. We use the water analogy to
From Richard Dawson to Steve Harvey, Family Feud is a game show that many people enjoy watching. Without a doubt, many families have fantasized about
From Richard Dawson to Steve Harvey, Family Feud is a game show that many people enjoy watching. Without a doubt, many families have fantasized about